Inhibition of protein adsorption and cell adhesion on PNIPAAm-grafted polyurethane surface: Effect of graft molecular weight
Colloids and Surfaces B: Biointerfaces,
2011,
85,
26-31.
文章链接:http://dx.doi.org/10.1016/j.colsurfb.2010.10.047
赵铁良在Colloids and Surfaces B: Biointerfaces发表研究论文
发布日期:2011-10-08
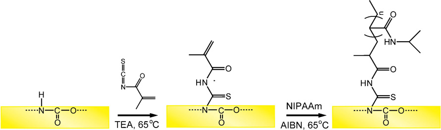
In this work, the effect of molecular weight (MW) of surface grafted poly(N-isopropylacrylamide) (PNIPAAm) on protein adsorption and cell adhesion was investigated systematically. PNIPAAm-grafted polyurethane (PU) surfaces of varying graftMWwere prepared via conventional radical polymerization.The MW was controlled by adjusting the monomer concentration. Fibrinogen (Fg) and human serum albumin (HSA) were selected as model proteins and their adsorption from phosphate-buffered saline (PBS, pH 7.4) and blood plasma at 37 ◦C was measured using a radiolabeling method and immunoblot analysis respectively. It was found that in both media, as theMWincreased, the adsorption of these two proteins decreased gradually reaching a plateau value at MW above 7.9×104. Compared to the unmodified PU, the surface grafted with PNIPAAm of MW 14.6×104 reduced the adsorption of Fg and HSA in PBS by 91% and 86%, respectively. Moreover, the surfaces with higher MW PNIPAAm showed minimal adhesion of L929 cells presumably due to the absence of cell-adhesive proteins on the surfaces.

